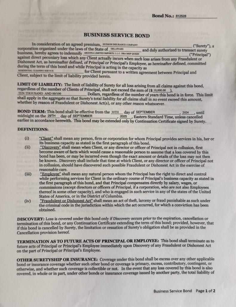
Mop Queen cleaning is licensed and bonded in Tempe, Arizona. Below are images of the business license, DBA of parent company and business service bond. We are a small business owned by Mexican/American women which is locally owned and operated by the owner. We pride ourselves in doing the utmost to assure customer satisfaction. We appreciate your trust in inviting our team into your home and understand what it takes to earn your business. We are highly rated on Google reviews.
Mop Queen Tempe business license
Record GENBUS-000521: General Business License Record Status: Active Expiration Date: 12/31/2026

Mop Queen bonding insurance



